• 2025年第57卷第5期文章目次
    全 选
    显示方式: |
    • 微小型无人机SAR地面小目标检测与识别方法

      2025, 57(5):781-798. DOI: 10.16356/j.1005-2615.2025.05.001

      摘要 (1075) HTML (1629) PDF 13.18 M (1090) 评论 (0) 收藏

      摘要:南京航空航天大学(Nanjing University of Aeronautics and Astronautics,NUAA)雷达探测与成像团队利用自主研发的无人机载微小型合成孔径雷达(Synthetic aperture radar,SAR)系统针对不同型号的坦克、装甲车和战机等十余类典型军事目标构建了圆周SAR数据集。通过对多次外场试验数据的高精度成像处理,在多俯仰角单基圆周SAR图像数据集的基础上,扩展了不同双基角组合的双基圆周SAR图像数据集。基于该数据集,本文结合团队在SAR图像目标检测和识别方法及应用方面的研究成果,对基于深度学习的SAR目标检测识别技术进行了回顾和综述,对比了不同神经网络模型在南航无人机载圆周SAR数据集上的检测和识别性能。具体地,在目标检测方面,利用SAR图像固有属性获得目标位置信息并结合单阶段轻量级检测算法,提出利用信息分布规律并结合全局注意力机制捕捉小目标位置信息的检测算法,以提高复杂背景下的小目标检测准确率和效率。在目标识别方面,在通过SAR图像先验信息抑制干扰噪声的基础上,提出利用SAR目标多视角信息联合Transformer的目标识别算法,通过设计视角正则化项以约束多视角之间的关联性从而实现不同视角间的特征融合,提高SAR小目标识别的准确率。从无人机载微型SAR系统对地面目标进行实时检测和识别的实际需求出发,本文还探讨了轻量化检测和识别网络在数字信号处理(Digital signal processing, DSP)平台上的部署方案,同时展示了初步试验结果。最后,本文展望了SAR目标智能检测和识别领域面临的挑战和发展趋势。

      • 0+1
      • 1+1
      • 2+1
      • 3+1
      • 4+1
      • 5+1
      • 6+1
      • 7+1
      • 8+1
      • 9+1
      • 10+1
      • 11+1
      • 12+1
      • 13+1
      • 14+1
      • 15+1
      • 16+1
      • 17+1
      • 18+1
      • 19+1
      • 20+1
      • 21+1
    • 基于深度学习的时间序列预测方法综述

      2025, 57(5):799-821. DOI: 10.16356/j.1005-2615.2025.05.002

      摘要 (1142) HTML (1707) PDF 2.50 M (593) 评论 (0) 收藏

      摘要:深度学习因能够更好地捕捉时间序列数据中的复杂关系和模式而成为解决时间序列预测的有效方法。典型的做法是单独地学习这些任务,为每个任务训练1个单独的神经网络,在时间序列预测中取得了丰硕的成果。最近的多任务学习技术通过学习共享知识联合处理多个预测任务,在性能、计算和内存占用方面显示出了其优势。本文首先综述了以卷积神经网络、循环神经网络、注意力机制、Transformer和图神经网络为代表的时间序列预测深度模型,包括数据集、模型特点和性能;然后深入分析了深度多任务时间序列预测模型,按照参数共享方式和参数共享(交互)位置进行分类概述,并讨论了一些常见的多任务时间序列预测框架。最后对深度时间序列预测面临的问题和挑战进行了总结,并对未来研究趋势进行了展望。

      • 0+1
      • 1+1
      • 2+1
      • 3+1
      • 4+1
      • 5+1
      • 6+1
      • 7+1
      • 8+1
      • 9+1
      • 10+1
      • 11+1
    • 大语言模型驱动的通信制式识别的挑战、机遇与应用前景

      2025, 57(5):822-830. DOI: 10.16356/j.1005-2615.2025.05.003

      摘要 (589) HTML (1713) PDF 939.06 K (471) 评论 (0) 收藏

      摘要:随着无线通信技术的快速演进,5G、Wi-Fi和窄带物联网(Narrowband internet of things, NB-IoT)等多种通信制式并存,网络结构与信道环境的复杂性显著提升,使通信制式识别在频谱管理、干扰抑制与安全监测中的作用愈加重要。传统依赖人工特征与规则的方法在动态复杂场景及未知协议下适应性有限,而深度学习通过端到端建模与自动特征提取显著提升了识别精度与鲁棒性,但其在跨制式泛化、数据稀缺与计算开销方面仍面临瓶颈。以大语言模型与多模态模型为代表的大规模预训练模型凭借强泛化、跨任务迁移和少样本学习能力,展现出在复杂通信制式识别中的巨大潜力。本文系统梳理了通信制式识别技术的发展脉络,重点探讨了大语言模型驱动方法的最新进展,剖析了其在泛化能力、可解释性与高效部署等方面所面临的挑战,挖掘了其在智能频谱管理与安全监测中的应用机遇,并展望了其在5G/6G智能网络管理中的发展前景。

      • 0+1
      • 1+1
      • 2+1
    • 基于强化学习的多机协同超视距空战决策算法

      2025, 57(5):831-841. DOI: 10.16356/j.1005-2615.2025.05.004

      摘要 (625) HTML (1727) PDF 1.43 M (515) 评论 (0) 收藏

      摘要:现代战争中的空战态势复杂多变,因此探索一种快速有效的决策方法十分重要。本文对多架无人机协同对抗问题展开研究,提出一种基于长短期记忆(Long and short-term memory, LSTM)和多智能体深度确定策略梯度(Multi-agent deep deterministic policy gradient,MADDPG)的多机协同超视距空战决策算法。首先,建立无人机运动模型、雷达探测区模型和导弹攻击区模型。然后,提出了多机协同超视距空战决策算法。设计了集中式训练LSTM-MADDPG分布式执行架构和协同空战系统的状态空间来处理多架无人机之间的同步决策问题;设计了学习率衰减机制来提升网络的收敛速度和稳定性;利用LSTM网络改进了网络结构,增强了网络对战术特征的提取能力;利用基于衰减因子的奖励函数机制加强无人机的协同对抗能力。仿真结果表明所提出的多机协同超视距空战决策算法使无人机具备了协同攻防的能力,同时算法具备良好的稳定性和收敛性。

      • 0+1
      • 1+1
      • 2+1
      • 3+1
      • 4+1
      • 5+1
      • 6+1
      • 7+1
    • 开放世界下带有分布内和分布外噪声的长尾学习

      2025, 57(5):842-851. DOI: 10.16356/j.1005-2615.2025.05.005

      摘要 (539) HTML (843) PDF 1.88 M (478) 评论 (0) 收藏

      摘要:在训练深度神经网络时,实际应用数据常存在长尾类别分布、分布内噪声和分布外噪声等偏差。现有方法多单独解决类别不平衡或含噪声标签问题,很少同时考虑两者,尤其是两种噪声并存时。本文提出不平衡噪声标签校准(Imbalanced noisy label calibration, INLC)方法,用模型一致性预测筛选分布外样本并赋予均匀标签,增强模型对其检测能力;对分布内样本,利用 Jensen-Shannon 散度区分噪声,减少干净样本误分类,尤其针对尾部类别;引入额外语义分类器,缓解伪标签对多数类的偏向性以应对类别不平衡;采用基于强数据增强的一致性正则化方法提升模型泛化性能。在模拟和真实数据集上的实验表明,INLC 显著减轻了标签噪声和类别不平衡的影响,分类准确率较优异基线方法提高 2% 以上。

      • 0+1
      • 1+1
      • 2+1
      • 3+1
    • 基于坐标变换的大斜视SAR波数域成像算法

      2025, 57(5):852-860. DOI: 10.16356/j.1005-2615.2025.05.006

      摘要 (392) HTML (1516) PDF 4.19 M (500) 评论 (0) 收藏

      摘要:波数域成像算法(Wavenumber domain algorithm, WDA)采用了精确的信号形式和距离徙动校正方法,在合成孔径雷达(Synthetic aperture radar, SAR) 斜视数据处理中具有精度高等优势。然而,在大斜视情况下,传统WDA不能充分利用倾斜的二维频谱支撑域,导致目标聚焦效果差。本文提出了一种全新基于坐标变换的大斜视SAR波数域成像算法。该算法首先将SAR回波数据变换到二维频域,通过参考函数相乘(Reference function multiply, RFM)完成对数据的一致压缩;然后,基于坐标变换原理将倾斜的频谱转化为正侧视频谱实现频谱的高利用;最后构建改进的Stolt插值因子,完成补余压缩。与传统波数域算法相比,所提方法不仅有效校正了倾斜的频谱支撑域,保证了成像质量,且其重构的点目标脉冲响应函数(Impulse response function, IRF)的距离向和方位向剖面正交,便于分辨率的计算与剖面的精确提取。通过对多组仿真和实测实验结果分析,证明了本文方法的有效性和优越性。

      • 0+1
      • 1+1
      • 2+1
      • 3+1
      • 4+1
      • 5+1
      • 6+1
      • 7+1
      • 8+1
      • 9+1
      • 10+1
      • 11+1
    • 视觉语义增强的联合小样本开集识别分类器

      2025, 57(5):861-869. DOI: 10.16356/j.1005-2615.2025.05.007

      摘要 (421) HTML (1333) PDF 1.16 M (453) 评论 (0) 收藏

      摘要:探究了视觉-语言预训练模型对比语言-图像预训练(Contrastive language-image pre-training,CLIP)在小样本开集识别(Few-shot open-set recognition, FSOR)任务中的潜力。实验发现基于CLIP图像编码特征的视觉原型分类器通常不如传统FSOR基线方法;基于CLIP语义编码特征的语义原型分类器虽然在闭集分类上显著优于传统基线,但在开集识别方面表现不佳。本文分析造成这些问题的主要原因可能是CLIP的训练数据与FSOR目标数据之间的分布差异及CLIP语义原型分类器为已知类别划分了过大的决策边界。本文提出了一种简单有效的视觉语义增强的联合小样本开集分类器,其不仅充分利用CLIP语义原型分类器的闭集分类优势,还巧妙挖掘了传统FSOR预训练模型构建的视觉原型分类器的潜力,以更紧密的决策边界进一步提升开集识别的精准度。在4个基准数据集上的实验结果表明,该方法在准确率(Accuracy,ACC)和受试者工作特征曲线下的面积(Area under the receiver operating characteristic,AUROC)指标上相比最优基线平均提升了2.9%和2.6%。

      • 0+1
      • 1+1
      • 2+1
      • 3+1
      • 4+1
      • 5+1
      • 6+1
    • 基于同步空间矢量调制的感应电机调速系统

      2025, 57(5):870-879. DOI: 10.16356/j.1005-2615.2025.05.008

      摘要 (392) HTML (1106) PDF 1.07 M (441) 评论 (0) 收藏

      摘要:为降低大功率电驱系统的损耗,逆变器开关频率甚至小于1 kHz,此时相电流谐波含量严重。为解决该问题,提出了基于定子磁链轨迹跟踪(Stator flux trajectory tracking, SFTT)的同步空间矢量调制(Synchronized space vector modulation, SSVM)实现方法,在降低电流谐波的同时可以保证系统动态响应速度。首先,构建了同步空间矢量调制下的感应电机定子磁链稳态波形,分析了基于磁链轨迹跟踪实现同步脉冲生成和变频驱动的可行性;其次,论证了单一坐标系下的状态观测器发散问题,进而给出了混合坐标系下的状态观测模型,提高了低载波比下的磁链观测精确性和稳定性;最后,阐述了磁链轨迹跟踪的实现方法,基于转子磁链误差最小原理,提出了低载波比下的控制周期动态优化策略。实验结果表明,所提方法产生的同步电压脉冲可以降低电流谐波含量,并在2 ms时间内完成转矩的快速跟踪,且不同载波比下的脉冲模式可以顺利切换。

      • 0+1
      • 1+1
      • 2+1
      • 3+1
      • 4+1
      • 5+1
      • 6+1
      • 7+1
      • 8+1
      • 9+1
      • 10+1
      • 11+1
      • 12+1
    • 发动机电控单元线束传导虚拟注入方法

      2025, 57(5):880-888. DOI: 10.16356/j.1005-2615.2025.05.009

      摘要 (325) HTML (1341) PDF 2.87 M (481) 评论 (0) 收藏

      摘要:电磁脉冲(Electromagnetic pulses,EMPs)耦合进入发动机电控单元(Electronic control unit,ECU)的主要方式是通过线束传导,大电流注入(Bulk current injection,BCI)是控制器敏感度测试的标准试验方法。为了在设计阶段对电控单元的电磁脉冲防护设计进行优化,提出了基于线束传导规律的虚拟注入方法。该方法由基于一维卷积神经网络(Convolutional neural network,CNN)的线束传导预测模型及仿真电路实现,线束传导预测模型基于一维卷积神经网络,训练模型所用数据集为BCI试验采集的注入电流信号与调理电路输入端口响应信号,仿真电路在软件Multisim中建立。选择注入电流信号输入至预测模型,得到端口的预测信号,将该信号“注入”到仿真电路输入端口,通过监测仿真电路输出端口信号分析发动机电控系统是否发生电磁敏感现象。结果表明,预测信号与实际测量信号的误差不超过5.8%,虚拟注入结果与BCI试验结果一致,并与试验中观测的敏感现象吻合。该方法可以在设计阶段快速分析电控单元各模块的电磁敏感度,为电控单元的电磁脉冲防护设计提供参考依据。

      • 0+1
      • 1+1
      • 2+1
      • 3+1
      • 4+1
      • 5+1
      • 6+1
      • 7+1
      • 8+1
      • 9+1
      • 10+1
      • 11+1
      • 12+1
      • 13+1
      • 14+1
      • 15+1
      • 16+1
      • 17+1
      • 18+1
    • 一种基于接触力反馈的航天电连接器自动装配技术

      2025, 57(5):889-899. DOI: 10.16356/j.1005-2615.2025.05.010

      摘要 (390) HTML (1094) PDF 4.81 M (551) 评论 (0) 收藏

      摘要:为解决航天电连接器自动装配过程中存在的视觉受限、针孔卡阻等问题,提出了基于插座外轮廓接触力反馈的自动装配技术,用于实现圆形航天电连接器的装配作业。结合电连接器在夹持状态下的受力分析,构建了基于“位置定心-姿态调平-旋转接入”的3阶段装配方法。首先,通过识别夹板与插座的接触象限来实现插座外轮廓的中心定位。其次,基于末端夹爪轴向运动前后接触力的变化来判断初始姿态偏转,并引导机器人沿扭矩方向实现自适应姿态调整。最后,采用旋转搜索算法完成电连接器接入,并在多组初始偏转误差条件下进行了多次实验,验证了所提方法的有效性。

      • 0+1
      • 1+1
      • 2+1
      • 3+1
      • 4+1
      • 5+1
      • 6+1
      • 7+1
      • 8+1
      • 9+1
      • 10+1
      • 11+1
      • 12+1
      • 13+1
      • 14+1
      • 15+1
      • 16+1
      • 17+1
    • 多策略改进鸽群优化算法的机器人路径规划

      2025, 57(5):900-911. DOI: 10.16356/j.1005-2615.2025.05.011

      摘要 (384) HTML (1183) PDF 4.95 M (511) 评论 (0) 收藏

      摘要:基于传统鸽群优化算法在处理高维优化问题时存在的局限性,提出一种改进的螺旋-动态鸽群优化(Modified spiral-dynamic pigeon-inspired optimization, MSDPIO)算法,用于解决机器人路径规划问题中的收敛速度慢和易陷入局部最优解等问题。首先,通过引入Logistic混沌映射初始化策略以扩大搜索范围;其次,设计螺旋搜索策略和动态反向学习策略以改进位置更新机制,提高算法的收敛速度和解的质量。同时,采用自适应余弦函数调整反向学习权重和改进地标操作提高算法的自适应能力与全局搜索能力。通过对10个CEC2017基准测试函数的实验,有效地评估了算法的性能。最后,将MSDPIO算法与基于改进的B样条曲线应用于不同尺度(20 m×20 m与40 m×40 m)地图的路径规划问题。仿真结果表明:在小规模20 m×20 m地图中较鸽群优化(Pigeon-inspired optimization, PIO)算法、多策略融合的天鹰优化(Multi-strategy improved aquila optimizer, MSIAO)算法、灰狼优化(Grey wolf optimizer,GWO)算法路径长度分别改进1.46%、1.43%、1.47%;在大规模40 m×40 m地图中收敛性能最大提升37.82%。

      • 0+1
      • 1+1
      • 2+1
      • 3+1
      • 4+1
      • 5+1
      • 6+1
      • 7+1
      • 8+1
      • 9+1
      • 10+1
      • 11+1
      • 12+1
      • 13+1
      • 14+1
      • 15+1
      • 16+1
      • 17+1
      • 18+1
      • 19+1
      • 20+1
    • 基于改进EEMD和PSO-SVM的永磁同步电机均匀退磁故障诊断

      2025, 57(5):912-923. DOI: 10.16356/j.1005-2615.2025.05.012

      摘要 (420) HTML (1191) PDF 4.77 M (540) 评论 (0) 收藏

      摘要:基于电流信号提供了一个新的不同均匀退磁程度的故障诊断方法,研究了永磁同步电机(Permanent magnet synchronous motors,PMSMs)的均匀退磁故障诊断方法。提出了一种基于改进的集合经验模式分解(Ensemble empirical mode decomposition,EEMD)算法和粒子群优化-支持向量机(Particle swarm optimization-support vector machine,PSO-SVM)的故障诊断方法。首先利用改进EEMD对采集的定子电流信号进行降噪和重构。其次计算处理后数据的分形盒维数作为故障特征参数。最后通过PSO-SVM处理特征参数诊断均匀退磁故障。通过解析模型仿真实验和原型实验表明,该方法能准确识别永磁同步电机均匀退磁故障,平均识别率超过96%,证明了本文故障诊断方法的有效性。

      • 0+1
      • 1+1
      • 2+1
      • 3+1
      • 4+1
      • 5+1
      • 6+1
      • 7+1
      • 8+1
      • 9+1
      • 10+1
      • 11+1
      • 12+1
      • 13+1
      • 14+1
      • 15+1
      • 16+1
      • 17+1
      • 18+1
      • 19+1
      • 20+1
      • 21+1
      • 22+1
      • 23+1
      • 24+1
      • 25+1
      • 26+1
      • 27+1
      • 28+1
      • 29+1
      • 30+1
      • 31+1
    • 基于声压反射系数幅度谱的薄冰厚度测量

      2025, 57(5):924-931. DOI: 10.16356/j.1005-2615.2025.05.013

      摘要 (318) HTML (968) PDF 2.31 M (413) 评论 (0) 收藏

      摘要:针对飞机结冰初期超声测厚时回波信号混叠导致的薄冰层厚度无法定量测量的问题,提出一种可通过蒙皮-冰层界面超声回波声压反射系数幅度谱(Ultrasonic reflection coefficient amplitude spectrum, URCAS)谐振频率反演薄冰厚度的方法。采用数值计算获得铝制蒙皮表面结冰初期原始超声回波信号并计算URCAS,确定入射波幅度谱-6 dB带宽范围内对应的薄冰层厚度测量上下限;发展用于超声时/频信号特征参数提取的信号处理方法,对理论计算回波信号进行处理,提取URCAS谐振频率点进行薄冰层厚度反演。结果表明:基于URCAS的冰厚测量可以有效实现结冰初期混叠超声信号特征参数提取,冰厚测量下限约为时域分析测量下限的1/2,理论测量相对误差小于4%。

      • 0+1
      • 1+1
      • 2+1
      • 3+1
      • 4+1
      • 5+1
      • 6+1
      • 7+1
      • 8+1
      • 9+1
      • 10+1
      • 11+1
      • 12+1
      • 13+1
      • 14+1
      • 15+1
    • 耐高温树脂基复合材料高速冲击性能测试研究

      2025, 57(5):932-940. DOI: 10.16356/j.1005-2615.2025.05.014

      摘要 (409) HTML (1334) PDF 4.87 M (577) 评论 (0) 收藏

      摘要:针对耐高温树脂基复合材料在室温及350 ℃条件下的抗冲击性能测试需求,开发了高温环境下复合材料靶板的冲击试验方法,克服了传统方法“控温难”及“易损伤炉体”的缺点,完成了350 ℃条件下球形弹及叶片模拟件冲击碳纤维复合材料靶板的试验测试,并结合断层扫描技术揭示了其冲击失效机理。结果表明:在所选工艺条件下,碳纤维复合靶板室温弹道极限约为150 m/s,所开发的冲击试验方法能够稳定实现350 ℃下球形子弹及叶片模拟件对碳纤维靶板的冲击测试,复合材料在350 ℃下的拉伸强度较室温下降约9.3%,但断裂延性提高约34.0%,350 ℃复合材料靶板冲击性能与室温冲击性能并无显著差异。研究成果为先进复合材料防护结构的设计和优化提供了试验依据与理论支持。

      • 0+1
      • 1+1
      • 2+1
      • 3+1
      • 4+1
      • 5+1
      • 6+1
      • 7+1
      • 8+1
      • 9+1
      • 10+1
      • 11+1
      • 12+1
      • 13+1
    • 大型客机油门装置运动学与动力学分析与仿真

      2025, 57(5):941-953. DOI: 10.16356/j.1005-2615.2025.05.015

      摘要 (327) HTML (381) PDF 3.18 M (441) 评论 (0) 收藏

      摘要:油门装置是飞机上对发动机控制的重要操纵装置,对其进行运动学与动力学分析是油门装置设计的理论基础。首先根据机构运动原理对油门装置进行简化,建立了运动学与动力学数学模型;其次根据上述建立的数学模型进行运动学和动力学仿真,得到油门装置在手动工作模式和自动工作模式下各个构件的位移、速度以及载荷特性。以某型飞机油门装置为例进行仿真,结果表明:油门角度解算器角度仿真误差不大于2.3%;摩擦离合器受力以及正/反推力杆驱动力矩呈二次曲线变化;油门伺服电机驱动力矩呈线性变化,且在电机启动时负载力矩最大;此外,油门装置的推力连杆长度变化对油门角度解算器角位移变化关系以及摩擦离合器受力与力矩变化影响显著。本文研究方法和结果可为大型客机油门装置运动学与动力学分析、结构设计与油门伺服电机选型提供参考。

      • 0+1
      • 1+1
      • 2+1
      • 3+1
      • 4+1
      • 5+1
      • 6+1
      • 7+1
      • 8+1
      • 9+1
      • 10+1
      • 11+1
      • 12+1
      • 13+1
      • 14+1
      • 15+1
      • 16+1
      • 17+1
      • 18+1
      • 19+1
      • 20+1
      • 21+1
      • 22+1
      • 23+1
      • 24+1
      • 25+1
      • 26+1
      • 27+1
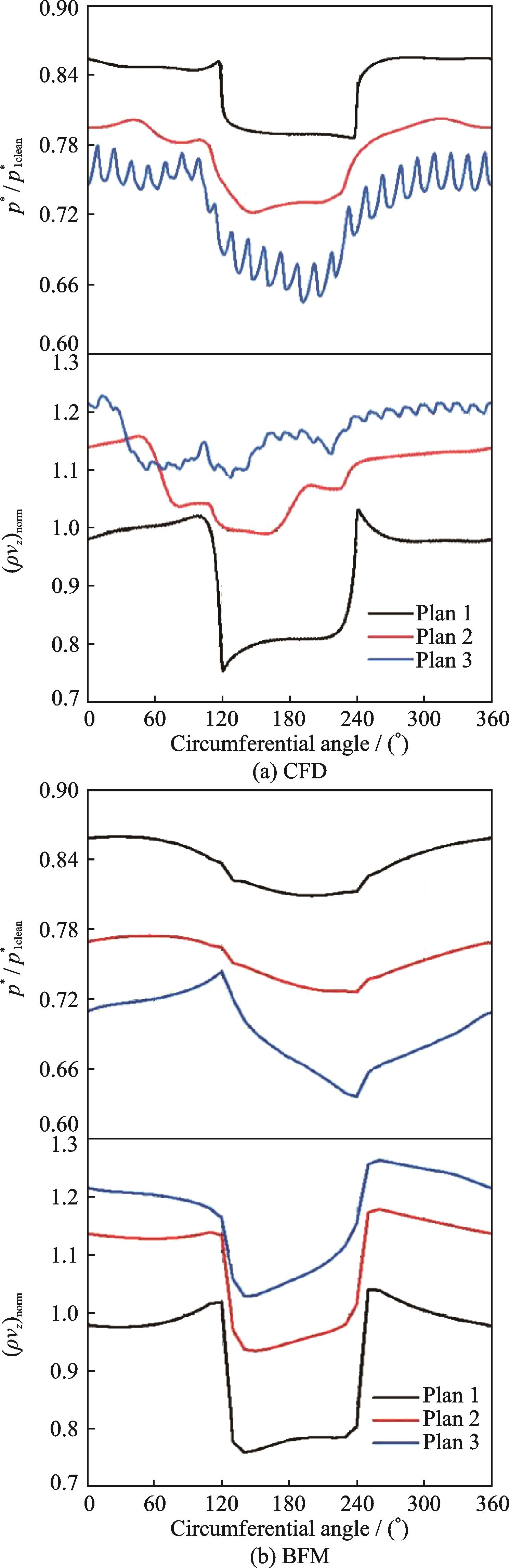
    • 基于彻体力模型的跨音三级风扇进气畸变研究

      2025, 57(5):954-964. DOI: 10.16356/j.1005-2615.2025.05.016

      摘要 (306) HTML (594) PDF 4.30 M (463) 评论 (0) 收藏

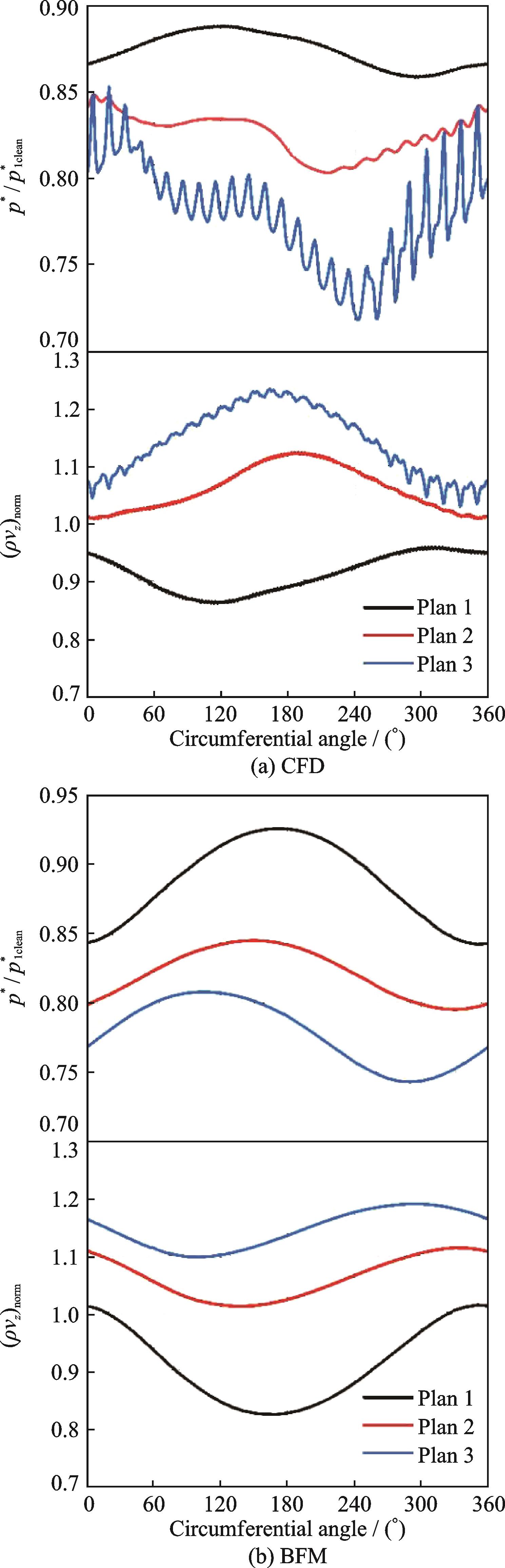
      摘要:采用三维彻体力模型(Body force model, BFM)和计算流体力学(Computational fluid dynamics, CFD)两种计算方法研究周向总压畸变及不同旋流畸变类型对跨音三级风扇性能和稳定性的影响,并探究畸变传递特性及风扇内部流场特征。结果表明:BFM和CFD计算结果吻合良好;均匀进气下BFM和CFD计算特性最大误差不超过4%;120°周向总压畸变使风扇性能下降,稳定边界向下移动;轴向历程中,总压畸变强度整体递减,而总温畸变强度整体递增;同向涡旋流畸变使风扇压比下降,失速延迟,而反向涡旋流畸变对风扇的影响与之相反;对涡旋流中由于同向涡占主导地位,导致风扇压比特性低于均匀进气和反向涡旋流畸变,其特性线的变化与同向涡旋流畸变类似;对涡旋流畸变诱导了总压和总温畸变,而后经过各级的衰减作用,畸变强度整体呈衰减趋势。

      • 0+1
      • 1+1
      • 2+1
      • 3+1
      • 4+1
      • 5+1
      • 6+1
      • 7+1
      • 8+1
      • 9+1
      • 10+1
      • 11+1
      • 12+1
      • 13+1
      • 14+1
      • 15+1
      • 16+1
      • 17+1
      • 18+1
    • 基于涵道换热器的燃料电池热管理系统仿真研究

      2025, 57(5):965-975. DOI: 10.16356/j.1005-2615.2025.05.017

      摘要 (405) HTML (1637) PDF 2.60 M (355) 评论 (0) 收藏

      摘要:燃料电池无人机是实现绿色低碳航空的重要技术路径,随着无人机向大型化、长航程发展,大功率燃料电池在无人机复杂飞行剖面下的热管理问题变得更加复杂。本文提出了一种基于涵道撑杆结构件的换热器设计,该设计充分利用了螺旋桨后气流进行散热而不附加过多系统质量,同时基于涵道换热器提出了应用于无人机的燃料电池热管理系统方案。采用Amesim平台,结合典型无人机飞行剖面,建立了热管理系统仿真模型并开展了数值模拟研究。研究结果表明:(1)该热管理系统能够较好地实现燃料电池温度控制,电池入口载冷剂温度不超过61.3 ℃(目标值60 ℃),进出口载冷剂温差不超过11.1 ℃(目标值10 ℃),均在误差范围内,验证了涵道换热器方案的可行性;(2)涵道换热器总数相同的情况下,各换热器模块的换热器数量需匹配燃料电池各阶段的功率以及电动泵的流量特性进行设计。

      • 0+1
      • 1+1
      • 2+1
      • 3+1
      • 4+1
      • 5+1
      • 6+1
      • 7+1
      • 8+1
      • 9+1
      • 10+1
      • 11+1
      • 12+1
      • 13+1
      • 14+1
    • 基于LSTM的舰载靶机适发窗口预报方法研究

      2025, 57(5):976-983. DOI: 10.16356/j.1005-2615.2025.05.018

      摘要 (375) HTML (542) PDF 2.00 M (407) 评论 (0) 收藏

      摘要:为提高舰载靶机发射过程中船舶运动姿态的预测精度,使用基于长短期记忆(Long short-term memory, LSTM)网络的船舶姿态预测方法。针对长时预测导致的误差累计问题,提出了改进窗口滑动法,通过对每次预测结果进行变分模态分解(Variational mode decomposition, VMD)滤波,消除累积误差引起的预测结果振荡。通过有限元仿真及自主设计的船模实验平台开展波浪水池试验,采集横摇、纵摇、垂荡等关键姿态参数的时序数据。实验设置涵盖1级至5级典型海况条件。实验结果表明,该模型在升沉位移、横摇角及纵摇角预测中,均方误差(Mean squared error, MSE)最大降幅可达99.4%,MAPE降低至2.11%,验证了其工程应用的有效性。研究成果可为舰载靶机发射引导系统提供高精度的船舶运动态势预判,对提升着舰安全性具有重要工程价值。

      • 0+1
      • 1+1
      • 2+1
      • 3+1
    • 可正交旋转的二维切割排样问题研究:基于启发式分组策略

      2025, 57(5):984-998. DOI: 10.16356/j.1005-2615.2025.05.019

      摘要 (387) HTML (370) PDF 4.33 M (463) 评论 (0) 收藏

      摘要:飞机货舱中非集装器的配载是重要的运输环节,而如何保障非集装器的配载,是亟须研究的重要内容。其中二维矩形切割排样问题是解决非集装器运输的重要理论方法。二维矩形切割排样理论在原材料切割、装箱等问题中有着广泛应用,但尚无很好的求解算法。该方法会因求解速度而拖累整个实际生产作业进度。因此,本文提出了二维切割排样的混合整数线性规划(Mixed-integer linear programming, MILP)模型,模型目标是以矩形板面积利用率和切割排样价值最大为目标,模型考虑了不超边界、不重叠、可正交旋转等限制。设计了启发式分组策略的求解算法:首先基于启发式把矩形块分组为不同组别的小矩形块,降低变量和计算规模;其次,采用混合整数规划精确算法对每个小矩形块进行切割排样。以经典Benchmark实验数据为例,将Gurobi分组与Gurobi、CutLogic2D、基于遗传算法和最低水平线算法的混合算法对比。实验结果表明,CutLogic2D综合求解质量和速度较好;Gurobi分组方法是一种启发式算法,总体上要稍差于CutLogic2D;遗传算法和最低水平线算法因是启发式算法且未使用分组策略,和Gurobi分别在部分算例上求解时间相对较长,达到了7 200 s,这是无法接受的。

      • 0+1
      • 1+1
      • 2+1
      • 3+1
      • 4+1
      • 5+1
      • 6+1
      • 7+1
      • 8+1
      • 9+1
      • 10+1
      • 11+1
      • 12+1
      • 13+1
      • 14+1
      • 15+1
      • 16+1
      • 17+1
      • 18+1
      • 19+1
      • 20+1
      • 21+1
      • 22+1
      • 23+1
      • 24+1
      • 25+1
      • 26+1
      • 27+1
      • 28+1
      • 29+1
      • 30+1
      • 31+1
      • 32+1
    • FADEC软件需求形式化建模与测试用例生成的实例研究

      2025, 57(5):999-1012. DOI: 10.16356/j.1005-2615.2025.05.020

      摘要 (405) HTML (485) PDF 1.57 M (433) 评论 (0) 收藏

      摘要:研发具有安全关键特征的全权限数字化发动机控制(Full authority digital engine control, FADEC)软件是当前大飞机航空发动机控制系统研制的重要任务。本文工作面向大飞机FADEC软件研发中的需求分析与测试挑战,基于变量关系模型(Variable relation model, VRM)提出了对条目化自然语言描述的FADEC软件需求形式化建模、分析和基于模型测试用例生成的技术方法,并对FADEC中启动燃油控制软件(Start fuel control, SFC)功能实例进行了研究。研究包括对FADEC自然语言需求文档开展结构化预处理,生成领域概念库;通过需求规范化生成形式化建模框架;基于变量关系模型开展多范式的分析;基于需求模型自动生成测试用例;对FADEC需求建模分析中的领域特征问题进行总结分析等。本文对FADEC软件需求提供了建模与测试的工程经验。

      • 0+1
      • 1+1
      • 2+1
      • 3+1
      • 4+1
      • 5+1
      • 6+1
您是第位访问者
网站版权 © 南京航空航天大学学报
技术支持:北京勤云科技发展有限公司